| 일 | 월 | 화 | 수 | 목 | 금 | 토 |
|---|---|---|---|---|---|---|
| 1 | 2 | 3 | 4 | 5 | 6 | |
| 7 | 8 | 9 | 10 | 11 | 12 | 13 |
| 14 | 15 | 16 | 17 | 18 | 19 | 20 |
| 21 | 22 | 23 | 24 | 25 | 26 | 27 |
| 28 | 29 | 30 | 31 |
- 열거형 #enum #JDK5
- 스마트인재개발원 #광주인공지능학원 #JavaScript #JS #형변환 #자바스크립트 #Web #back-end #front-end
- #시그모이드 #광주인공지능학원 #스인개
- RPA #실습 #라이브러리 #RPA라이브러리 #task #Process #Task #Assign #변수
- RPA #실습 #라이브러리 #RPA라이브러리 #task #Process #Task
- 메소드 오버로딩 #Method Overloading #오버로딩 #중복정의 #Overloading
- 학습하기 #봇 학습 #테스트 방법 #디버깅
- this. #this #this키워드 #객체 자신 참조 #필드호출 #메소드호출
- 대화설계 #시나리오 설계 #Flowchart #플로우차트 작성
- SQLD #DDL #DML #DCL #TCL #DB #SQLP #DataBase #자격증 # IT #명령어 #SQL #쿼리
- #Brity #BrityRPA #FlowControl
- VDI #DRM #디지털 저작권 관리 #가상 데스크톱 인프라 #용어 #IT용어 #개발자 #신입
- Class #클래스 #Java #JAVA #자바 #java기초 #java입문 #java #자바 개념 #programming #공부 #개발 공부 #코드 정리 #코딩테스트 #알고리즘
- RPA #실습 #라이브러리 #RPA라이브러리 #task #Process #Task #Script #ExecuteScript
- field #Field #Method #method #필드 #속성 #메소드 #행동 #객체 #Class구성요소
- 변수의 범위 #Scope #scope #Static #static #지역변수 #전연변수 #global #local
- Java #JAVA #자바 #java기초 #java입문 #java #자바 개념 #programming #공부 #개발 공부 #코드 정리 #코딩테스트 #알고리즘
- Brity #BrityRPA #FlowControl
- Class #class #reference
- 생성자 #메소드랑 햇갈려 #생성자랑 메소드는 다른거지롱 #객체생성 #new 연산자 #인스턴스화 #인스턴스 생성
- Brity #Brity Assistant #ChatBit #챗봇 #자연어 처리 #Brity RPA #삼성SDS #대화분석 #대화설계
- String Class #String #Class
- 스마트인재개발원 #deep learning #MLP #다층 레이어 퍼셉트론 #퍼셉트론 #선형분류 #다중 선형분류 #AI #머신러닝 #뉴런 #신경망
- For #Loop #반복문
- 연산자 #일치연산자 #기본연산자 #불일치연산자
- Brity Assistant #대화분석 #설계 #ChatBot #변수 #학습 #대화학습 #동의어 #동의어 처리 #단어사전
- 스마트인재개발원 #광주인공지능학원 #JavaScript #Web #Java
- 참조(Reference)타입 #클래스
- 순전파 #역전파 #MLP
- 스마트인재개발원 #스마트인재캠퍼스 #MLP #이미지분석 #AI #인공지능 #머신러닝 #딥러닝
- Today
- Total
코딩몬
[스마트인재개발원] 딥러닝(Deep Learning) 개요 본문
딥러닝(Deep Learning)
딥 러닝(deep structured learning, deep learning 또는 hierarchical learning)은 여러 비선형 변환기법의 조합을 통해 높은 수준의 추상화(abstractions, 다량의 데이터나 복잡한 자료들 속에서 핵심적인 내용 또는 기능을 요약하는 작업)를 시도하는 기계학습 알고리즘의 집합 으로 정의되며, 큰 틀에서 사람의 사고방식을 컴퓨터에게 가르치는 기계학습의 한 분야라고 이야기할 수 있다.
<출처 : 위키백과>
- 사람의 신경망을 모방하여 기계가 병렬적 다층 구조를 통해 학습하도록 만든 기술
- 다층 인공신경망(DNN)을 이용하여 정보를처리하는 머신러닝의 한 방법
- ex> GAN(적대적 신경망), 전이학습(Transfer Learning), 심층강화학습(Deep Reinforcement Learning) 등
딥러닝(Deep Learning)의 역사

퍼셉트론(Perceptron)
인간의 뉴런을 하나의 노드(인공 뉴런) 으로 가상화하고 각 노드의 특성(가중치)를 다르게 설정하여 동일한 입력에 대해 다양한 반응을 발생하도록 하게 함.


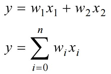
- 퍼셉트론은 다수의 신호를 입력받아 하나의 신호를 출력
- 입력 신호가 뉴런에 보내질 때 각각 고유한 가중치 w1, w2가 곱해지고 각 입력은 더해진다.
- 활성화 함수 : 출력을 다음 노드로 전달할 기준을 정하는 함수

다층 퍼셉트론(MLP : Multi Layer Perceptron)
신경망은 뇌의 신경세포 (뉴런)들이 시냅스로 연결되어 전기 신호를 통해 정보를 주고 받는 모습에서 착안
한 것으로 다층 퍼셉트론 (Multi-layer Perceptron)으로 부름

- 사람은 대상이 무엇인지 판단하는 정보들의 경계를 느슨하게 가지고 있음 → 정확하지 않음 → 추상적
- 각 신경 세포 (뉴런)은 정보에 대한 각기 다른 기준을 가지고 있음
- 다층 신경망을 거치면서 정보를 판단하게 됨
장점 : 비선형 데이터를 분리할 수 있다
단점 : 학습 시간이 오래 걸리고 파라미터 수가 많으므로 과대적합을 일으키기 쉬우며 가중치가 초기값에
민감하여 지역 최적점에 빠지기 쉽다
다층 퍼셉트론(MLP)의 용도
1. 음성인식, 영상인식, 자연어 처리(챗봇), 가상실험 등 을정하게정해진 값이 존재하지 않는 데이터
2. 긴 학습시간이 필요한데이터
3. 학습 예제에 에러가 존재하는 경우
4. 여러 속성에 의해 표현되는 데이터 등
스마트인재개발원
4차산업혁명시대를 선도하는 빅데이터, 인공지능, 사물인터넷 전문 '0원' 취업연계교육기관
www.smhrd.or.kr
'Deep Learning' 카테고리의 다른 글
| [스마트인재개발원] Keras Iris 분류모델 실습(MLP 실습) (0) | 2021.07.11 |
|---|---|
| [스마트인재개발원] MLP(Multi Layer Perceptron) 다층 퍼셉트론 (0) | 2021.07.07 |
| [스마트인재개발원] 딥러닝(Deep Learning) 과정, AND논리 실습 (0) | 2021.07.04 |
| [스마트인재개발원] BERT Model (0) | 2021.06.27 |
| [스마트인재개발원] NLP(자연어 처리) (0) | 2021.06.27 |